Ответы
Ответ дал:
0
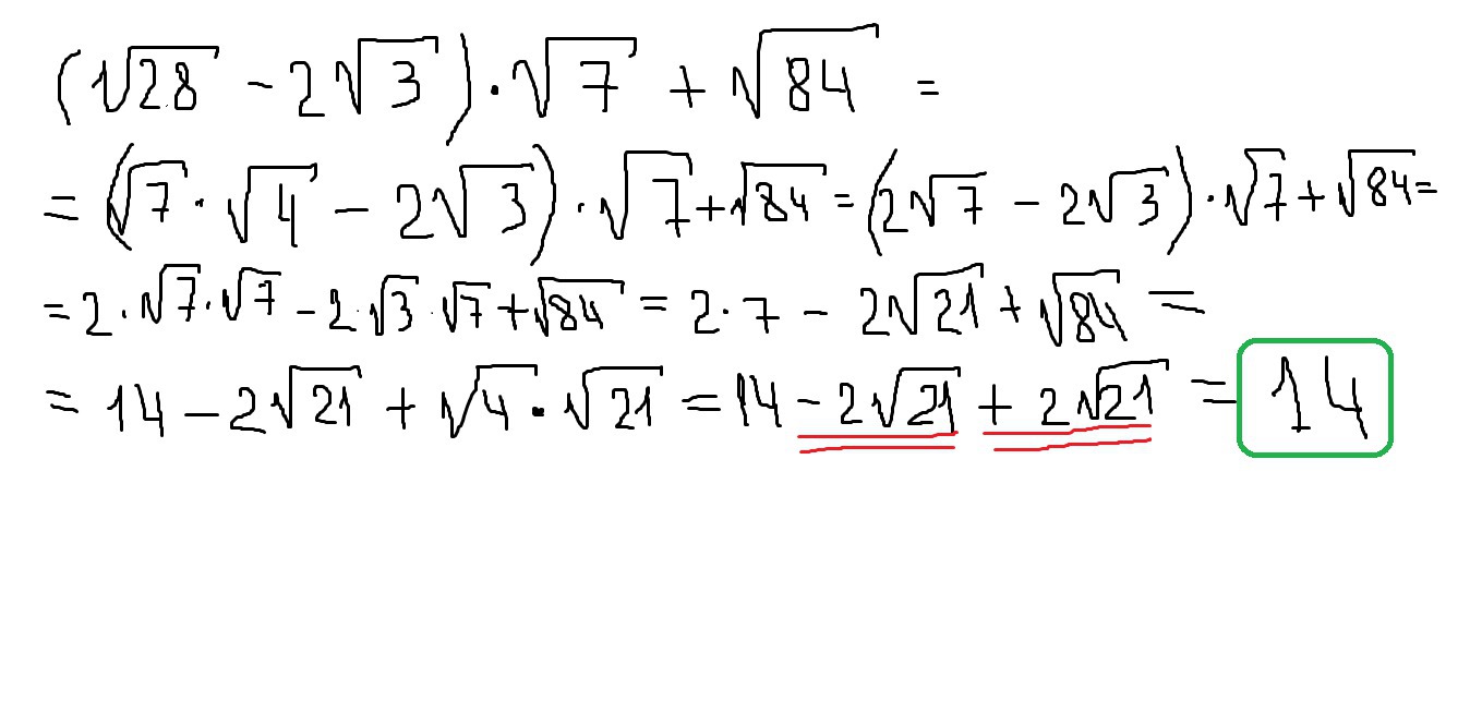
Ответ во вложении.
Использовал свойства корней
Использовал свойства корней
Приложения:

Ответ дал:
0
Спасибо
Ответ дал:
0
Пожалуйста
Вас заинтересует
2 года назад
2 года назад
7 лет назад
9 лет назад
9 лет назад
10 лет назад