• Предмет: Математика
  • Автор: czarsviristik
  • Вопрос задан 9 лет назад

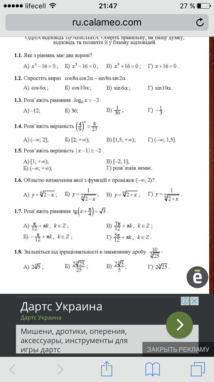
Помогите решить, кто что знает.

Приложения:

Ответы

Ответ дал: aisanatazhidinova
0
1.1 А
4вариант 1.1 -sin
1.2 A
Вас заинтересует