Ответы
Ответ дал:
0
Приложения:

Ответ дал:
0
это все?
Ответ дал:
0
или там еще надо будет что то написать? (в фото)
Ответ дал:
0
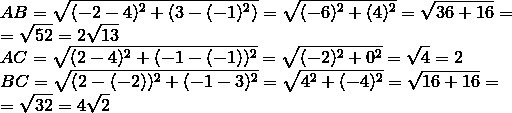
Вам расстояние между точками нужно найти? Вот оно.
Вас заинтересует
7 лет назад
7 лет назад
10 лет назад