• Предмет: Математика
  • Автор: Cutiefly
  • Вопрос задан 9 лет назад

Как это решить? по теме рациональные уравнения

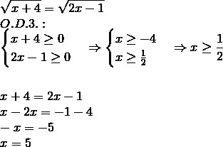
√х+4' = √2x-1'

Ответы

Ответ дал: Trover
0
sqrt{x+4}=sqrt{2x-1}\O.D.3.:\begin{cases}x+4geq0\2x-1geq0end{cases}Rightarrowbegin{cases}xgeq-4\xgeqfrac12end{cases}Rightarrow xgeqfrac12\\\x+4=2x-1\x-2x=-1-4\-x=-5\x=5
Приложения:
Ответ дал: Cutiefly
0
Я ошиблась, это иррациональные уравнения(( всегда путаю
Вас заинтересует