Ответы
Ответ дал:
0
Ответ смотрите во вложении
Приложения:

Ответ дал:
0
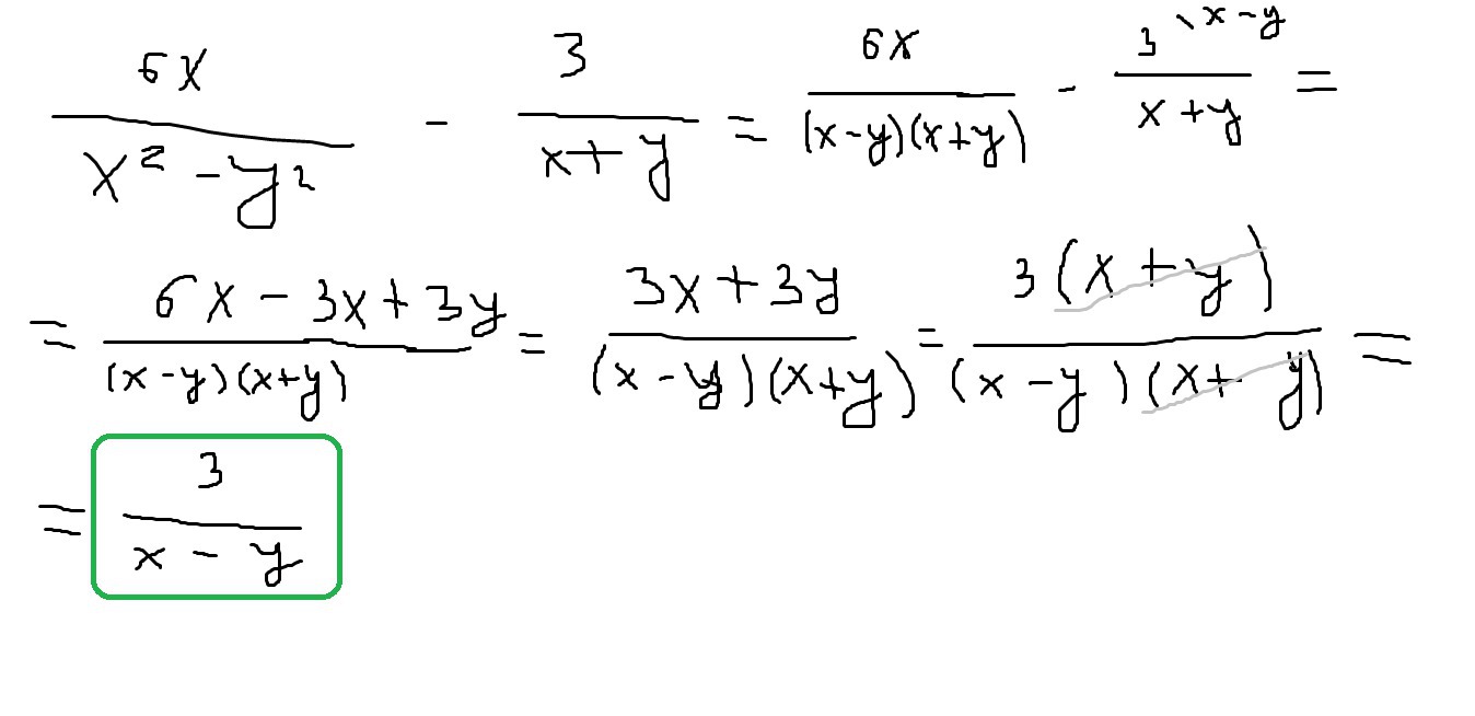
6х/(х-у) (х+у) - 3/(х+у) = 6х/(х-у) (х+у) - 3х+3у/(х-у) (х+у) = 6х-3х+3у/(х-у) (х+у) = 3х+3у/(х-у) (х+у) = 3(х+у) /(х-у) (х+у) = 3/х-у. там я сократила х+у
Приложения:

Вас заинтересует
2 года назад
7 лет назад
7 лет назад
9 лет назад
9 лет назад
10 лет назад
10 лет назад