• Предмет: Алгебра
  • Автор: mashakot110702
  • Вопрос задан 9 лет назад

Сократите дробь пожалуйста

Приложения:

Ответы

Ответ дал: Regent1828
0
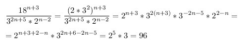
displaystyle  frac{18^{n+3}}{3^{2n+5}*2^{n-2}}=frac{(2*3^{2})^{n+3}}{3^{2n+5}*2^{n-2}}= 2^{n+3}*3^{2(n+3)}*3^{-2n-5}*2^{2-n}= \  \ =2^{n+3+2-n}*3^{2n+6-2n-5}=2^{5}*3=96
Приложения:
Вас заинтересует