• Предмет: Алгебра
  • Автор: Аноним
  • Вопрос задан 9 лет назад

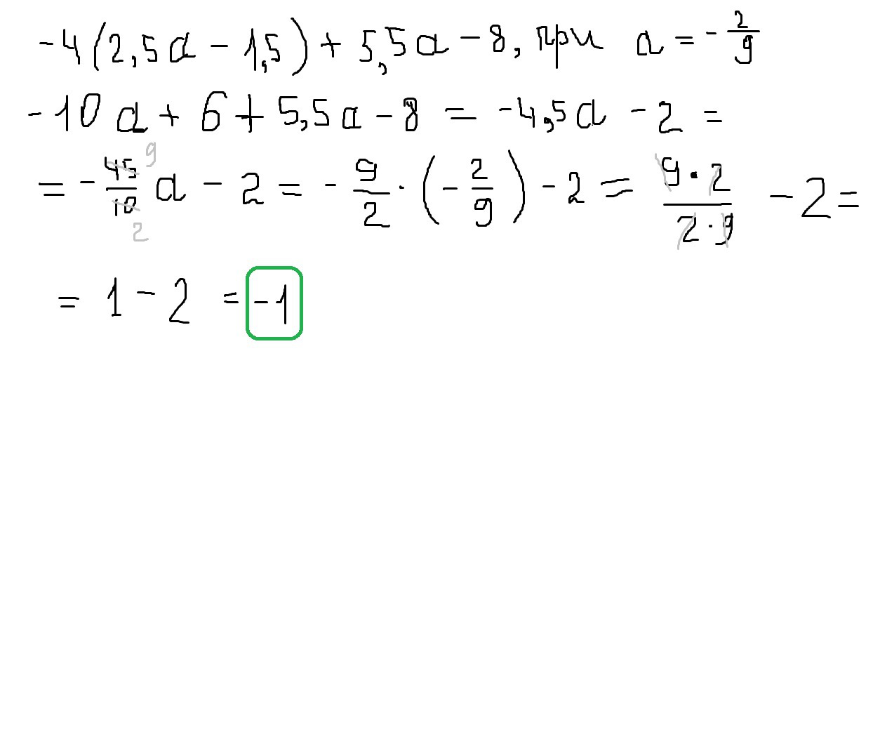
упростите вырожение и найдите его значение
-4 (2,5 а - 1,5) + 5,5 а -8 при а= -2/9

Ответы

Ответ дал: KeilorN
0
Ответ смотрите во вложении
Приложения:
Вас заинтересует