докажите, что а) квадраты противоположных чисел равны б) кубы противоположных чисел противоположны
Ответы
Ответ дал:
0
1)5²=25
-5²=25
25=25
2)5³=125
-5³=-125
125≠-125
-5²=25
25=25
2)5³=125
-5³=-125
125≠-125
Ответ дал:
0
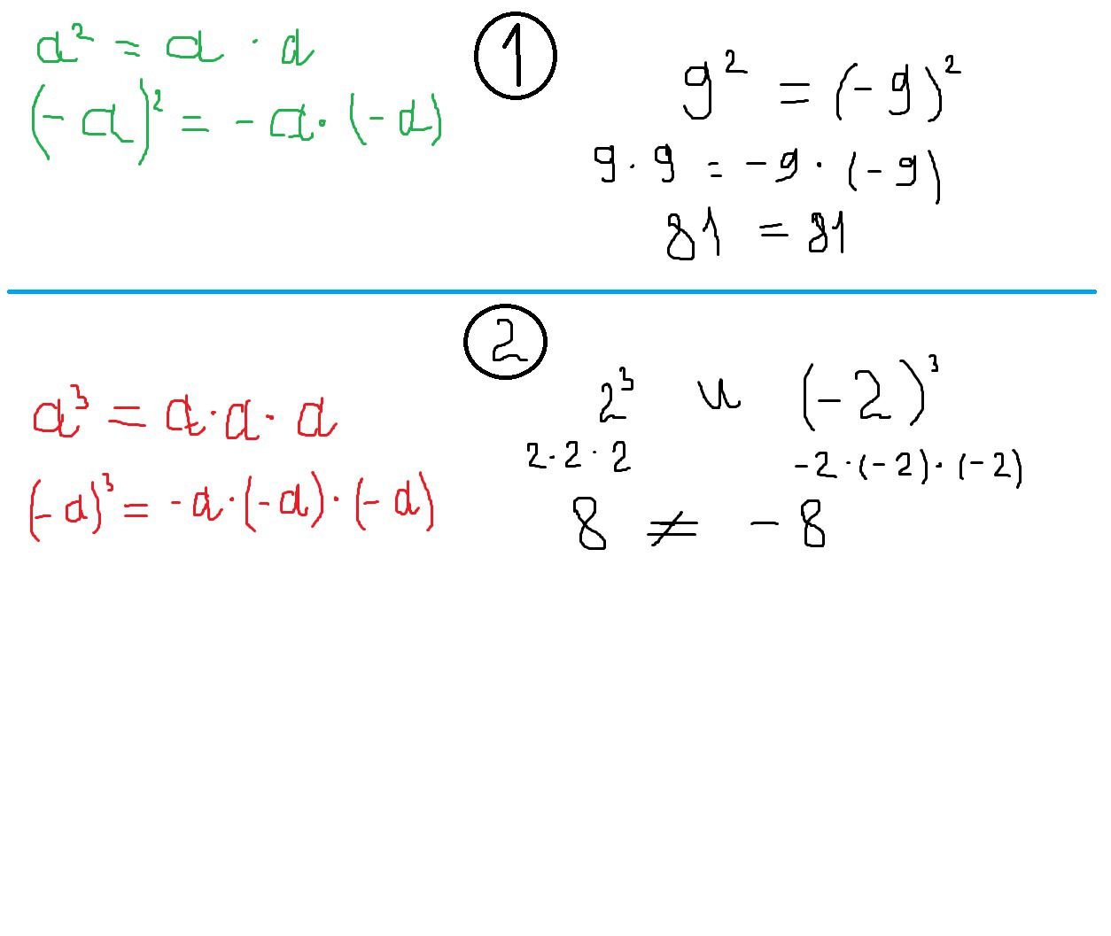
1) а^2 = a*a ; (-а)^2= -а*(-а) (Минус на минус дают плюс) =>
=> Любое число в квадрате - это число положительное => квадраты противоположных чисел равны
2) Куб положительного числа всегда равен положительному числу , а куб отрицательного числа , всегда равен отрицательному числу => кубы противоположных чисел противоположны
=> Любое число в квадрате - это число положительное => квадраты противоположных чисел равны
2) Куб положительного числа всегда равен положительному числу , а куб отрицательного числа , всегда равен отрицательному числу => кубы противоположных чисел противоположны
Приложения:
Вас заинтересует
2 года назад
2 года назад
7 лет назад
10 лет назад
10 лет назад