• Предмет: Математика
  • Автор: Diamonid
  • Вопрос задан 9 лет назад

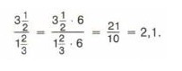
Почему тут 6? Объясните решение

Приложения:

Ответы

Ответ дал: hactahactarambler
0
чтобы округлить число необходимо умножить его на 6


Ответ дал: Diamonid
0
спасибо, помог, 5 в кармане)))
Ответ дал: Kurga2003
0
6 потомучто переводи в неправильную дробь 3 1/2=7/2*6=21 получается просто...
Вас заинтересует