• Предмет: Алгебра
  • Автор: kiss111
  • Вопрос задан 11 лет назад

помогите пожалуйста, очен нужно((

Приложения:

Ответы

Ответ дал: Googler
0

 С 3 могу помочь)

--

5x-=-13

x+=-4

--

x-=-2,6

x+=-4

--

Ответ второй. С графиками не дружу :)

 

 

 

 

 

 

 

 

 

 

 

 

 

 

 

 

 

 

 

 

Ответ дал: Sandeul
0

1)1,3

2)2

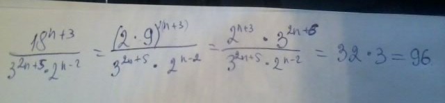
3)смотри вложения

Приложения:
Вас заинтересует