• Предмет: Алгебра
  • Автор: зайчёнок130502
  • Вопрос задан 9 лет назад

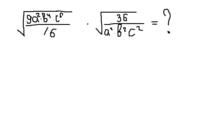
Помогите упростить.
8 класс.

Приложения:

Ответы

Ответ дал: игорь629
0
9bc в квадрате / 2 простой пример
Ответ дал: зайчёнок130502
0
Ты мне не помог. Решения нет. Мне тупо ответ не нужен. Я хочу понять, как решить это
Ответ дал: игорь629
0
как я могу фотку скинутт
Вас заинтересует