• Предмет: Алгебра
  • Автор: Stenzor
  • Вопрос задан 9 лет назад

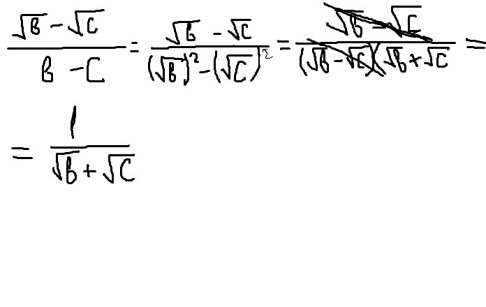
Помогите решить! Дробная черта,в числителе - корень из b минус корень из c
В знаменателе b-c

Ответы

Ответ дал: зайчёнок130502
0
Вот, держи)
Открой это изображение, там всё решение. 
Приложения:
Вас заинтересует