• Предмет: Алгебра
  • Автор: марк207
  • Вопрос задан 9 лет назад

решите пожалуйста прошу спасибо заранее

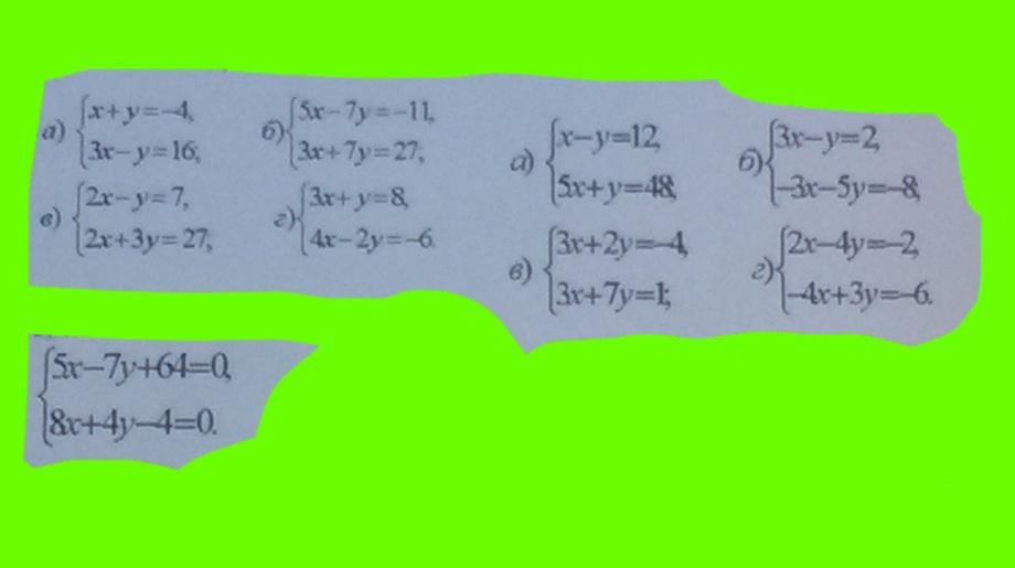
Приложения:

Ответы

Ответ дал: amazonka007
0
1)  left { {{x+y=-4} atop {3x-y=16}} right.  \ x+y+3x-y=-4+16 \ 4x=12 \ x=3 \ y=-4-x \ y=-4-3=-7
2)  left { {{5x-7y=-11} atop {3x+7y=27}} right.  \ 5x-7y+3x+7y=-11+27 \ 8x=16 \ x=2 \ y= frac{27-3x}{7}= frac{27-6}{7}=3
3)  left { {{2x-y=7} atop {2x+3y=27}} right.  \ 2x-y-2x-3y=7-27 \ -4y=-20 \ y=5 \ x= frac{7+y}{2}= frac{7+5}{2}  =6
4)  left { {{3x+y=8} atop {4x-2y=-6}} right.  \  left { {{3x+y=8} atop {2x-y=-3}} right.  \ 3x+y+2x-y=8-3 \ 5x=5 \ x=1 \ y=8-3x=8-3=5
5)  left { {{5x-7y=-64} atop {8x+4y=4}} right. left { {{5x-7y=-64} atop {2x+y=1}} right.  \ y=1-2x \ 5x-7(1-2x)=-64 \ 5x-7+14x=-64 \ 19x=-57 \ x=-3 \ y=1-2*(-3)=7
6)  left { {{x-y=12} atop {5x+y=48}} right.  \ x-y+5x+y=12+48 \ 6x=60 \ x=10 \ y=x-12 \ y=10-12=-2
Приложения:
Вас заинтересует