• Предмет: Математика
  • Автор: aburmanovich
  • Вопрос задан 9 лет назад

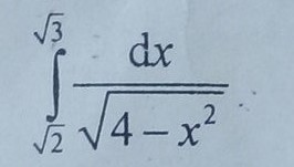
Помогите пожалуйста)))

Приложения:

Ответы

Ответ дал: Нармина23
0
вппоаеаопаарпопбоьмлб лош еп кгованоол
Вас заинтересует