• Предмет: Алгебра
  • Автор: КидаАлеверон
  • Вопрос задан 9 лет назад

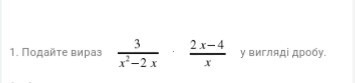
Помогите!! 8 класс (29 б.)
Внизу фото

Приложения:

Ответа на этот вопрос пока нет. Попробуйте найти его через форму поиска.

Вас заинтересует