• Предмет: Математика
  • Автор: taiberseptim
  • Вопрос задан 9 лет назад

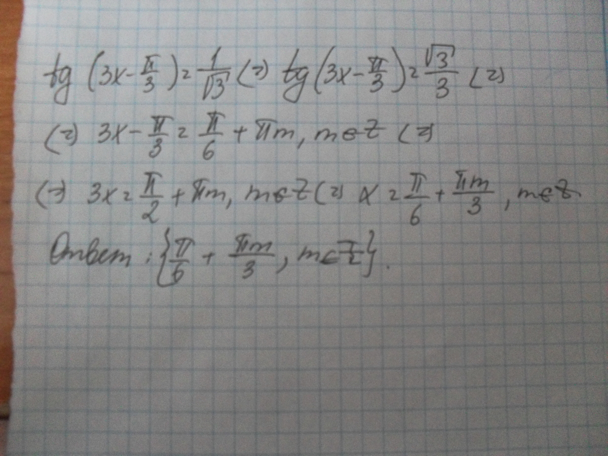
помогите решить √3 tg(3x-π/3)>-1

Ответы

Ответ дал: shikula2008
0
вот я старалас, пожалуйста;)
Приложения:
Вас заинтересует