• Предмет: Алгебра
  • Автор: NikitaNikitazzz
  • Вопрос задан 9 лет назад

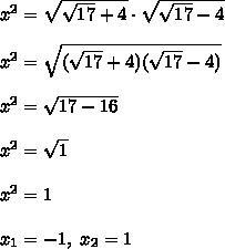
Почему 16?Напишите по понятнее

Приложения:

Ответы

Ответ дал: ШереметИрина
0
)))))))))))))))))))))))))))))))))))))))))))))))))))))))))))))))))))))))))))))))
Приложения:
Ответ дал: ШереметИрина
0
4 в квадрате = 16
Ответ дал: NikitaNikitazzz
0
Точно!Спасибо большое!
Вас заинтересует