Ответы
Ответ дал:
0
{ (6+4√2)/(√2+√(6+4√2))+(6-4√2)/(√2-√(6-4√2)) }²=8
Т.К
6+4√2=(2+√2)² √(6+4√2)=√(2+√2)² =I2+√2 I=2+√2
6-4√2=(2-√2)² √(6-4√2)=I 2-√2 I=2-√2
Т.О.
{ (6+4√2)/(√2+√(6+4√2))+(6-4√2)/(√2-√(6-4√2)) }²=
={ (2+√2)²/(√2+2+√2)+(2-√2)²/(√2-(2-√2)) }²=
={ (√2)²(√2+1)²/(2·(√2+1)) + (√2)²(√2-1)²/(2·(√2-1)) }²=
={ (√2+1) + (√2-1)}²=(2√2)²=8
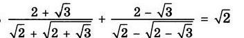
Во втором примере аналогично
2+√3=(1/2)(√3+1)²
2-√3=(1/2)(√3-1)²
и т.д.
второй пример разумно выложить отдельной задачей...-)
Т.К
6+4√2=(2+√2)² √(6+4√2)=√(2+√2)² =I2+√2 I=2+√2
6-4√2=(2-√2)² √(6-4√2)=I 2-√2 I=2-√2
Т.О.
{ (6+4√2)/(√2+√(6+4√2))+(6-4√2)/(√2-√(6-4√2)) }²=
={ (2+√2)²/(√2+2+√2)+(2-√2)²/(√2-(2-√2)) }²=
={ (√2)²(√2+1)²/(2·(√2+1)) + (√2)²(√2-1)²/(2·(√2-1)) }²=
={ (√2+1) + (√2-1)}²=(2√2)²=8
Во втором примере аналогично
2+√3=(1/2)(√3+1)²
2-√3=(1/2)(√3-1)²
и т.д.
второй пример разумно выложить отдельной задачей...-)
Ответ дал:
0
спасибо
Ответ дал:
0
:)))
Вас заинтересует
2 года назад
2 года назад
7 лет назад
10 лет назад
10 лет назад