Ответы
Ответ дал:
0
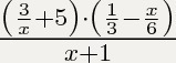
dddddddddddddddddddddddd
Приложения:

Ответ дал:
0
всё очень просто! нужно найти х- известные в одну, неизвестные в другую !!! А дальше сами решите
Приложения:

Вас заинтересует
2 года назад
2 года назад
9 лет назад
10 лет назад
10 лет назад