ПОМОГИТЕ СРОЧНО ПРОШУ. КТО НИБУДЬ ОТВЕТЬТЕ!!!!!!!!!!!!!!!!! решить все задачи!
P.S. можно решение картинкой?
Приложения:
Ответы
Ответ дал:
0
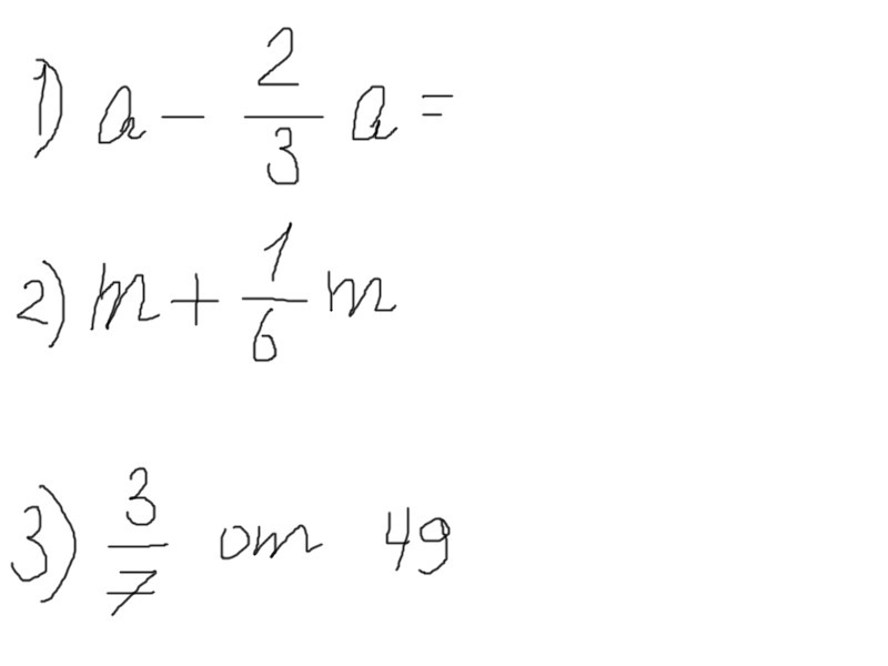
1) а-2/3а=а*(1-2/3)=а*1/3
2) m+1/6m=m*(1+1/6)=m*7/6
3) 3/7*49=3*7=21
2) m+1/6m=m*(1+1/6)=m*7/6
3) 3/7*49=3*7=21
Ответ дал:
0
1) а-2/3a=1a-2/3a=1/3a
2) m+1/6m=1m+1/6m=1 1/6m
3) 3/7 от 49 = ( ОТ...ВСЕГДА УМНОЖИТЬ) = 3/7*49=21
2) m+1/6m=1m+1/6m=1 1/6m
3) 3/7 от 49 = ( ОТ...ВСЕГДА УМНОЖИТЬ) = 3/7*49=21
Вас заинтересует
7 лет назад
10 лет назад
10 лет назад
10 лет назад