• Предмет: Математика
  • Автор: 57558el
  • Вопрос задан 9 лет назад

Помогите пожалуйста, срочно

Приложения:

Ответы

Ответ дал: Trover
0
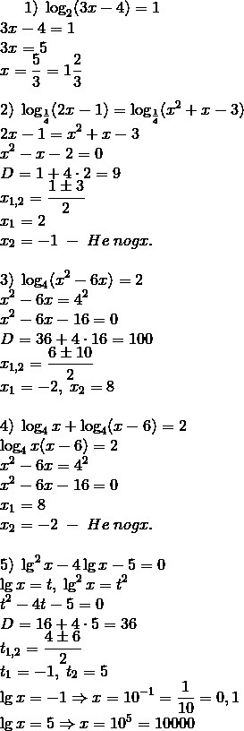
1);log_2(3x-4)=1\3x-4=1\3x=5\x=frac53=1frac23\\2);log_{frac14}(2x-1)=log_{frac14}(x^2+x-3)\2x-1=x^2+x-3\x^2-x-2=0\D=1+4cdot2=9\x_{1,2}=frac{1pm3}2\x_1=2\x_2=-1;-;He;nogx.

3);log_4(x^2-6x)=2\x^2-6x=4^2\x^2-6x-16=0\D=36+4cdot16=100\x_{1,2}=frac{6pm10}2\x_1=-2,;x_2=8\\4);log_4x+log_4(x-6)=2\log_4x(x-6)=2\x^2-6x=4^2\x^2-6x-16=0\x_1=8\x_2=-2;-;He;nogx.\\5);lg^2x-4lg x-5=0\lg x=t,;lg^2x=t^2\t^2-4t-5=0\D=16+4cdot5=36\t_{1,2}=frac{4pm6}2\t_1=-1,;t_2=5\lg x=-1Rightarrow x=10^{-1}=frac1{10}=0,1\lg x=5Rightarrow x=10^5=10000
Приложения:
Ответ дал: 57558el
0
А где ты нашёл ответы?
Ответ дал: Trover
0
Нигде - решил.
Вас заинтересует