Ответы
Ответ дал:
0
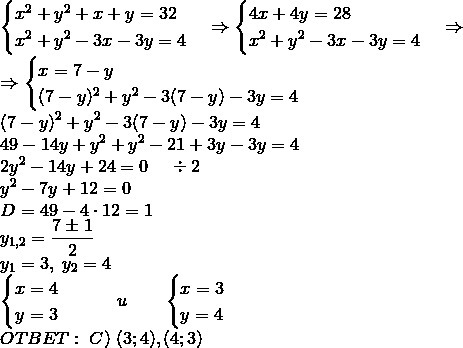
Нужно вычесть из первого уравнения второе, выразить из него x, подставить x во второе, решить его относительно y.
Приложения:

Вас заинтересует
2 года назад
7 лет назад
7 лет назад
9 лет назад
9 лет назад