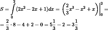
используя определенный интеграл , найти площадь фигуры ограниченной линиями y=2x^-2x+1, x=0, x=2
Ответы
Ответ дал:
0
Приложения:

Вас заинтересует
2 года назад
2 года назад
7 лет назад
9 лет назад
9 лет назад