Ответы
Ответ дал:
0
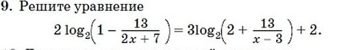
ОДЗ: x∈(-oo; -7/2) ∪ (3; +oo)
Для начала преобразовываем то, что стоит под логарифмами:

Значит уравнение можно записать так:

Чтобы было меньше писанины проводим замену
Тогда
Преобразовываем используя свойства логарифмов:

Все.
Для начала преобразовываем то, что стоит под логарифмами:
Значит уравнение можно записать так:
Чтобы было меньше писанины проводим замену
Тогда
Преобразовываем используя свойства логарифмов:
Все.
Вас заинтересует
2 года назад
2 года назад
7 лет назад
7 лет назад
10 лет назад
10 лет назад