• Предмет: Алгебра
  • Автор: linda0121
  • Вопрос задан 9 лет назад

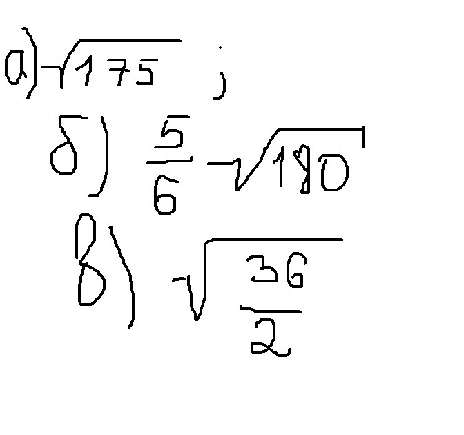
1. Вынесите мн-ль из под знака корня:

Приложения:

Ответы

Ответ дал: Петросян4
0
-5√7
5/6•6√5=5√5
√36/2=6/√2=6√2/2=3√2

Вас заинтересует