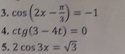
Добрые люди, очень вас прошу помогите мне решить эти тригонометрические уравнения, все решить не могу их. Прошу вас. Заранее спасибо ^^
Приложения:

Ответы
Ответ дал:
0
3)
, k∈z
, k∈z
, k∈z
4)
, k∈z
, k∈z
, k∈z
5)
, k∈z
k∈z
4)
5)
Вас заинтересует
2 года назад
2 года назад
7 лет назад
7 лет назад
9 лет назад
9 лет назад
10 лет назад