• Предмет: Математика
  • Автор: Аноним
  • Вопрос задан 9 лет назад

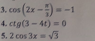
Добрые люди, очень вас прошу помогите мне решить эти тригонометрические уравнения, все решить не могу их. Прошу вас. Заранее спасибо ^^

Приложения:

Ответы

Ответ дал: jamiko27
0
Вот подробное решение и ответы
Приложения:
Вас заинтересует