В цепь включены параллельно два проводника. Сопротивление одного из них равно 150 Ом, другого - 30 Ом. В каком проводнике сила тока больше и во сколько раз?
Ответы
Ответ дал:
0
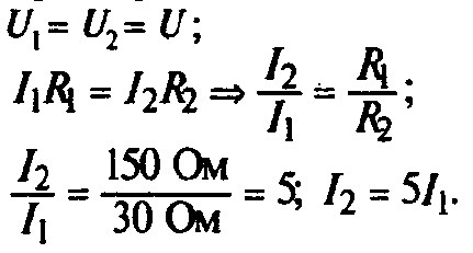
во 2 в 5 раз больше(150:30=5)
Приложения:

Ответ дал:
0
А с формулой можно?
Вас заинтересует
2 года назад
2 года назад
7 лет назад
7 лет назад
9 лет назад
10 лет назад