Ответы
Ответ дал:
0
...........................
Приложения:
Ответ дал:
0
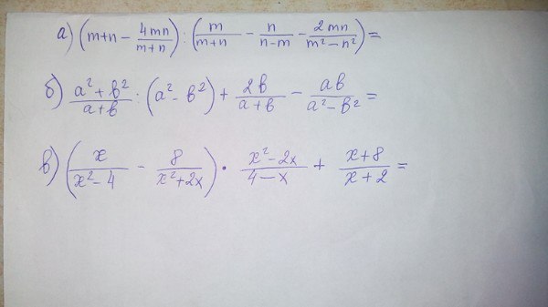
а
1)(m+n)+4mn/(m+n)=(m²+2mn+n²-4mn)/(m+n)=(m²-2mn+n²)/(m+n)=
=(m-n)²/(m+n)
2)m/(m+n)+n/(m-n)=(m²-mn+mn+n²-2mn)/(m²-n²)=(m²-2mn+n²)/(m²-n²)=
=(m-n)²/(m-n)(m+n)=(m-n)/(m+n)
3)(m-n)²/(m+n)*(m+n)/(m-n)=m-n)
б
1)(a²+b²)/(a+b)*1/(a²-b²)=(a²+b²)/(a+b)(a²-b²)
2)(a²+b²)/(a+b)(a²-b²)+2b/(a+b)-ab/(a²-b²)=
=(a²+b²+2a²b-2b³-a²b-ab²)/(a+b)(a²-b²)=(a²+b²+a²b-2b³-ab³)/(a+b)(a²-b²)
в
1)x/(x-2)(x+2) -8/x(x+2)=(x²-8x+16)/x(x²-4)=(4-x)²/x(x²-4)
2)(4-x)²/x(x+2)(x-2) *x(x+2)/(4-x)=(4-x)/(x+2)
3)(4-x)/(x+2)+(x+8)/(x+2)=(4-x+x+8)/(x+2)=12/(x+2)
1)(m+n)+4mn/(m+n)=(m²+2mn+n²-4mn)/(m+n)=(m²-2mn+n²)/(m+n)=
=(m-n)²/(m+n)
2)m/(m+n)+n/(m-n)=(m²-mn+mn+n²-2mn)/(m²-n²)=(m²-2mn+n²)/(m²-n²)=
=(m-n)²/(m-n)(m+n)=(m-n)/(m+n)
3)(m-n)²/(m+n)*(m+n)/(m-n)=m-n)
б
1)(a²+b²)/(a+b)*1/(a²-b²)=(a²+b²)/(a+b)(a²-b²)
2)(a²+b²)/(a+b)(a²-b²)+2b/(a+b)-ab/(a²-b²)=
=(a²+b²+2a²b-2b³-a²b-ab²)/(a+b)(a²-b²)=(a²+b²+a²b-2b³-ab³)/(a+b)(a²-b²)
в
1)x/(x-2)(x+2) -8/x(x+2)=(x²-8x+16)/x(x²-4)=(4-x)²/x(x²-4)
2)(4-x)²/x(x+2)(x-2) *x(x+2)/(4-x)=(4-x)/(x+2)
3)(4-x)/(x+2)+(x+8)/(x+2)=(4-x+x+8)/(x+2)=12/(x+2)
Приложения:
Вас заинтересует
2 года назад
7 лет назад
10 лет назад
10 лет назад