• Предмет: Алгебра
  • Автор: петух12
  • Вопрос задан 9 лет назад

ПОМОГИТЕ СВЕРХЪРАЗУМЫ

Приложения:

Ответы

Ответ дал: AAwreeds
0
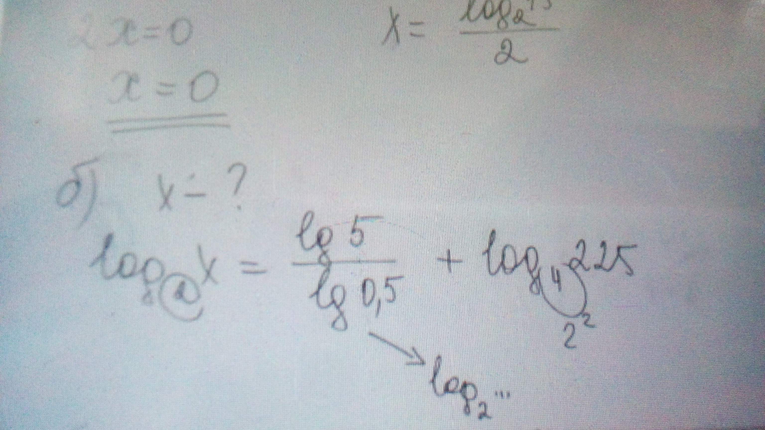
справа логарифм 225 по основании 4 сокращаем т. к. 225=15^2  ,а 4=2^2 получаем логарифм 15 по 2 и переносим за равно в лево со знаком минус получаем логарифм х/15 по 2 равен дроби которую сокращаем и получаем логарифм 5 по 0,5 и переносим  -1 степень от 0,5=2^(-1) к 5 (5^-1=0.2) получаем что логарифм х/15 по 2 равен логарифму 0.2 по 2 следовательно x/15=0.2 умножаем всё на 15 и итог x=3
Ответ дал: AAwreeds
0
yjhv&
Ответ дал: AAwreeds
0
норм?
Ответ дал: петух12
0
сложно,расписали бы
Ответ дал: AAwreeds
0
что именно
Вас заинтересует