Решите пределы пожалуйста
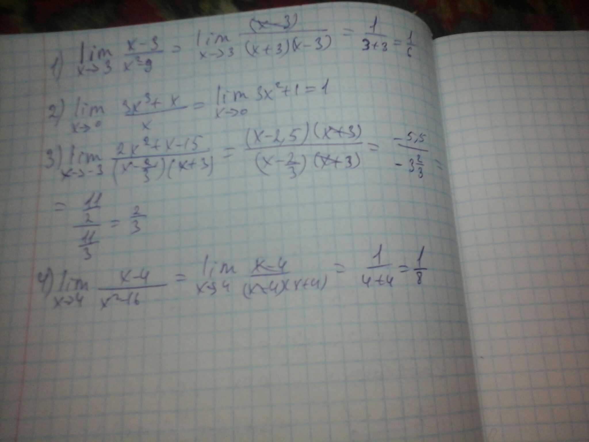
1. lim(x->3) x-3/x^2-9
2. lim(x->0) 3x^3+x/x
3. lim(x-> -3) 2x^2+x-15/(x-2/3)(x+3)
4. lim (x->4) x-4/x^2-16
Ответы
Ответ дал:
0
3)Lim x->-3 2(x+3)(x-2.5)/(x-2/3)(x+3)=2*-5.5/-3 2/3= 11*11/3=1/3
Приложения:
Ответ дал:
0
1
lim(x-3)/(x-3)(x+3)=lim1/(x+3)=1/(3+3)=1/6
2
limx(3x²+1)/x=lim(3x²+1)=3*0+1=1
3
lim2(x+3)(x-2,5)/(x-2/3)(x+3)=2lim(x-2,5)/(x-2/3)=2(-3-2,5)/(-3-2/3=
=2*(-5,5):(-3 2/3)=11*11/3=1/3
2x²+x-15=0
D=1+120=121
x1=(-1-11)/4=-3 U x2=(-1+11)/4=2,5
4
lim(x-4)/(x-4)(x+4)=lim1/(x+4)=1/(4+4)=1/8
lim(x-3)/(x-3)(x+3)=lim1/(x+3)=1/(3+3)=1/6
2
limx(3x²+1)/x=lim(3x²+1)=3*0+1=1
3
lim2(x+3)(x-2,5)/(x-2/3)(x+3)=2lim(x-2,5)/(x-2/3)=2(-3-2,5)/(-3-2/3=
=2*(-5,5):(-3 2/3)=11*11/3=1/3
2x²+x-15=0
D=1+120=121
x1=(-1-11)/4=-3 U x2=(-1+11)/4=2,5
4
lim(x-4)/(x-4)(x+4)=lim1/(x+4)=1/(4+4)=1/8
Приложения:
Ответ дал:
0
как так получилось что 2*5.5/3 2/3= 11/11/3=1/3 а не 3?
Вас заинтересует
2 года назад
2 года назад
7 лет назад
10 лет назад
10 лет назад