Ответы
Ответ дал:
0
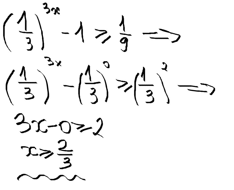
Решение предоставил в виде фотографии
Примечание: можно отбрасывать основания и оставлять только степени при условии, что основания ОДИНАКОВЫ!
Примечание: можно отбрасывать основания и оставлять только степени при условии, что основания ОДИНАКОВЫ!
Приложения:
Вас заинтересует
2 года назад
2 года назад
7 лет назад
7 лет назад
10 лет назад
10 лет назад