• Предмет: Математика
  • Автор: ilyag2000
  • Вопрос задан 9 лет назад

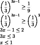
(1/3)^3x-1>либо = 1/9

Ответы

Ответ дал: Trover
0
left(frac13right)^{3x-1}geqfrac19\left(frac13right)^{3x-1}geqleft(frac13right)^2\3x-1leq2\3xleq3\xleq1
Приложения:
Ответ дал: arinacot95
0
Помоги мне пожалуйста с решением
Ответ дал: Trover
0
С чем именно?
Вас заинтересует