• Предмет: Математика
  • Автор: 89080657780
  • Вопрос задан 9 лет назад

Помогите пожалуйста решить

Приложения:

Ответы

Ответ дал: Trover
0
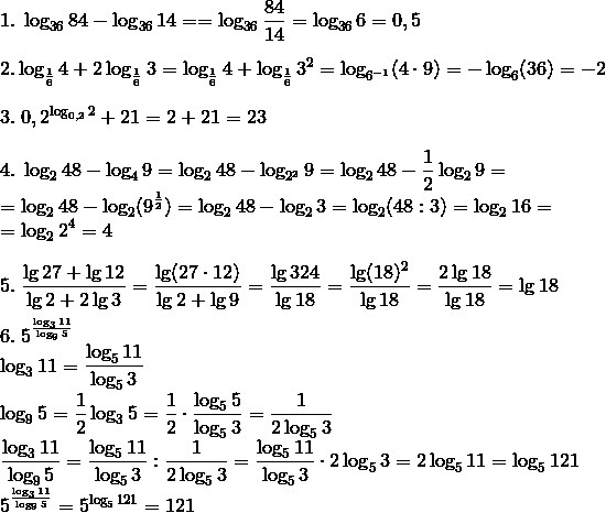
1.;log_{36}84-log_{36}14==log_{36}frac{84}{14}=log_{36}6=0,5\\2.log_{frac16}4+2log_{frac16}3=log_{frac16}4+log_{frac16}3^2=log_{6^{-1}}(4cdot9)=-log_6(36)=-2\\3.;0,2^{log_{0,2}2}+21=2+21=23\\4.;log_248-log_49=log_248-log_{2^2}9=log_248-frac12log_29=\=log_248-log_2(9^frac12)=log_248-log_23=log_2(48:3)=log_216=\=log_22^4=4\\5.;frac{lg27+lg12}{lg2+2lg3}=frac{lg(27cdot12)}{lg2+lg9}=frac{lg324}{lg18}=frac{lg(18)^2}{lg18}=frac{2lg18}{lg18}=lg18

6.;5^{frac{log_311}{log_95}}\log_311=frac{log_511}{log_53}\log_95=frac12log_35=frac12cdotfrac{log_55}{log_53}=frac1{2log_53}\frac{log_311}{log_95}=frac{log_511}{log_53}:frac1{2log_53}=frac{log_511}{log_53}cdot2log_53=2log_511=log_5121\5^{frac{log_311}{log_95}}=5^{log_5121}=121

7.;0,5^{log_20,04}+log_{sqrt7}0,5-log_{frac17}4=left(frac12right)^{log_20,04}+log_{7^{frac12}}0,5-log_{7^{-1}}4=\=2^{-log_20,04}+2log_7frac12+log_74=2^{log_2(0,04)^{-1}}+log_7frac14+log_74=\=2^{log_225}+log_7left(frac14cdot4right)=25+log_71=25+0=25
Приложения:
Вас заинтересует