• Предмет: Математика
  • Автор: Globoxer3
  • Вопрос задан 9 лет назад

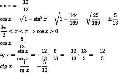
найти значения остальных тригонометрических функций, если sinx = - 12/13; 3п/2 < x < 2п

Ответы

Ответ дал: Trover
0
sin x=-frac{12}{13}\cos x=sqrt{1-sin^2x}=sqrt{1-frac{144}{169}}=sqrt{frac{25}{169}}=pmfrac5{13}\frac{3pi}2 textless  x textless  piRightarrow cos x textgreater  0\cos x=frac5{13}\tg;x=frac{sin x}{cos x}=-frac{12}{13}:frac5{13}=-frac{12}{13}cdotfrac{13}5=-frac{12}5\ctg;x=frac1{tg;x}=-frac5{12}
Приложения:
Вас заинтересует