• Предмет: Математика
  • Автор: Аноним
  • Вопрос задан 9 лет назад

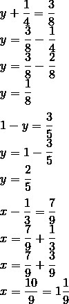
Помогите решить уравнения дроби. y+ 1/4 (ну одна четвертых) = 3/8 1-y= 3/5 x-1/3=7/9 Проверить срочно нужно пожалуйста!!!!

Ответы

Ответ дал: Trover
0
y+frac14=frac38\y=frac38-frac14\y=frac38-frac28\y=frac18\\1-y=frac35\y=1-frac35\y=frac25\\x-frac13=frac79\x=frac79+frac13\x=frac79+frac39\x=frac{10}9=1frac19
Приложения:
Ответ дал: Аноним
0
спасибо все правильно
Вас заинтересует