• Предмет: Математика
  • Автор: justmikekirov
  • Вопрос задан 9 лет назад

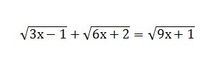
√(3x-1) + √(6x+2) = √(9x+1)

Приложения:

Ответы

Ответ дал: 11111Али111111111111
0
возводим все члены в квадрат.3х-1+6х+2=9х+1
9х-9х+1-1=0
ответ 0
Ответ дал: justmikekirov
0
в проверке подстановкой не сходится
Ответ дал: justmikekirov
0
а нет, всё сошлось
Ответ дал: justmikekirov
0
спасибо!
Вас заинтересует