• Предмет: Математика
  • Автор: FrizzLoy
  • Вопрос задан 9 лет назад

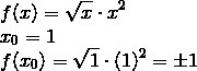
Вычислите f(x), если
f(x) = √x * x²; x = 1

Ответы

Ответ дал: Trover
0
f(x)=sqrt xcdot x^2\x_0=1\f(x_0)=sqrt1cdot(1)^2=pm1
Приложения:
Вас заинтересует