• Предмет: Математика
  • Автор: Her01st
  • Вопрос задан 9 лет назад

sin (pi+t)+sin (2pi-t)-cos (3pi/2+t)+1.5

Ответы

Ответ дал: Trover
0
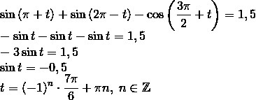
sinleft(pi+tright)+sinleft(2pi-tright)-cosleft(frac{3pi}2+tright)=1,5\-sin t-sin t-sin t=1,5\-3sin t=1,5\sin t=-0,5\t=(-1)^ncdotfrac{7pi}6+pi n,;ninmathbb{Z}
Приложения:
Ответ дал: Her01st
0
Спасибо
Вас заинтересует