• Предмет: Алгебра
  • Автор: dahatishina
  • Вопрос задан 9 лет назад

Кто шарит в подобных заданиях ?

Приложения:

Ответы

Ответ дал: NNNLLL54
0
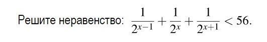
 frac{1}{2^{x-1}}+ frac{1}{2^{x}}+frac{1}{2^{x+1}}  textless  56\\ frac{1}{2^{x}cdot 1/2}+ frac{1}{2^{x}}+frac{1}{2^{x}cdot 2}  textless  56\\t=2^{x} textgreater  0; ,; ; ;  frac{2}{t}+frac{1}{t}+frac{1}{2t} textless  56\\ frac{4+2+1}{2t}  textless  56 \\ frac{7}{2t}  textless  56; ; to ; ;  7 textless  112, t; ; (t textgreater  0)\\t textgreater  frac{7}{112}; ; to ; ; t textgreater  frac{1}{16}; ; to ; ; 2^{x} textgreater  2^{-4}\\x textgreater  -4\\xin (-4,+infty )
Ответ дал: dahatishina
0
Как теья вк найти
Ответ дал: NNNLLL54
0
Меня там нет...
Вас заинтересует