• Предмет: Алгебра
  • Автор: strelok035
  • Вопрос задан 9 лет назад

иследовать функцию и построить график
y=4x^3+2x^2-x

Ответы

Ответ дал: amazonka007
0
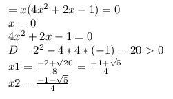
=x(4x^2+2x-1)=0 \ x=0 \ 4x^2+2x-1=0 \ D=2^2-4*4*(-1)=20 textgreater  0 \ x1= frac{-2+ sqrt{20} }{8} = frac{-1+ sqrt{5} }{4}  \ x2= frac{-1- sqrt{5} }{4}
график в прикрепленном файле
график пересекает ось У, когда Х=0
Приложения:
Ответ дал: счастливая634
0
Вот ,вроде так,сейчас график построю
Приложения:
Вас заинтересует