Ответы
Ответ дал:
0
1 листик
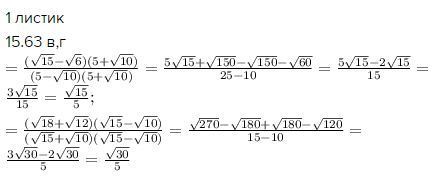
15.63 в,г


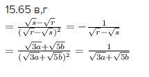
15.65 в,г


15.40 в,г


15.63 в,г
15.65 в,г
15.40 в,г
Приложения:
Вас заинтересует
2 года назад
2 года назад
7 лет назад
10 лет назад
10 лет назад
10 лет назад