• Предмет: Математика
  • Автор: Алина7654
  • Вопрос задан 9 лет назад

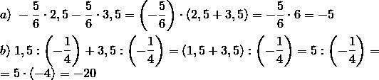
Вычислите используя законы умножения и деления а)-5/6*2,5-5/6*3,5= б)1,5:(-1/4)+3,5:(-1/4)=

Ответы

Ответ дал: Trover
0
a);-frac56cdot2,5-frac56cdot3,5=left(-frac56right)cdot(2,5+3,5)=-frac56cdot6=-5\\b);1,5:left(-frac14right)+3,5:left(-frac14right)=(1,5+3,5):left(-frac14right)=5:left(-frac14right)=\=5cdot(-4)=-20
Приложения:
Вас заинтересует