• Предмет: Алгебра
  • Автор: otvertka01
  • Вопрос задан 9 лет назад

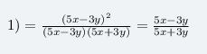
СРОЧНО ПОМОГИТЕ С ПРЕОБРАЗОВАНИЕМ В МНОГОЧЛЕН (ПОДРОБНО РАСПИСАТЬ)1)25x^2-30xy+9y^2/(5x-3y)(5x+3y) 2)(2a-1/3b)^3 3)(2а-1/3b)^2

Ответы

Ответ дал: amazonka007
0
1) = frac{(5x-3y)^2}{(5x-3y)(5x+3y)}= frac{5x-3y}{5x+3y}
Приложения:
Вас заинтересует