• Предмет: Математика
  • Автор: artemDgrad
  • Вопрос задан 9 лет назад

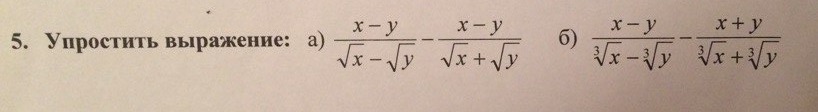
Срочно.Самостоятельная по математике.

Приложения:

Ответы

Ответ дал: alanik1
0
последний не уверена только
Приложения:
Вас заинтересует