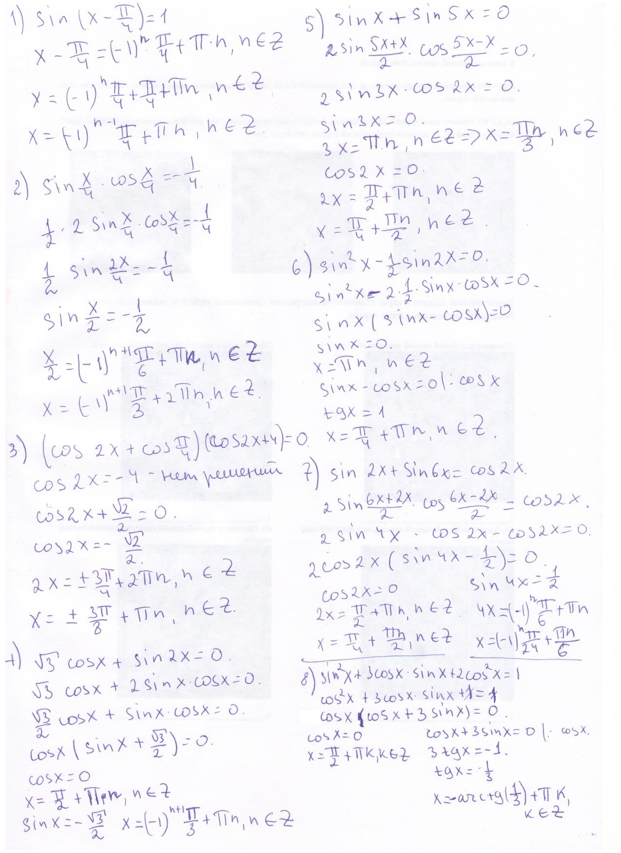
1)sin(x-pi/4)=1
2)sin(x/4)*cos(x/4)=-1/4
3)(cos2x+cospi/4)*(cos2x+4)=0 {0;Pi}
4)sqrt3cosX+sin2x=0
5)sinx+sin5x=0
6)sin^2x-0.5sin2x=0
7)sin2x+sin6x=cos2x
8)3sin^2x+3cosx*sinx+2cos^2x=1
Ответы
Ответ дал:
0
Решение в приложении...
Приложения:

Вас заинтересует
2 года назад
2 года назад
8 лет назад
8 лет назад
10 лет назад
10 лет назад
10 лет назад