Ответы
Ответ дал:
0
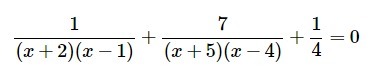
решение будет проще, если
сделать удобную замену...
сделать удобную замену...
Приложения:

Вас заинтересует
7 лет назад
7 лет назад
9 лет назад
10 лет назад