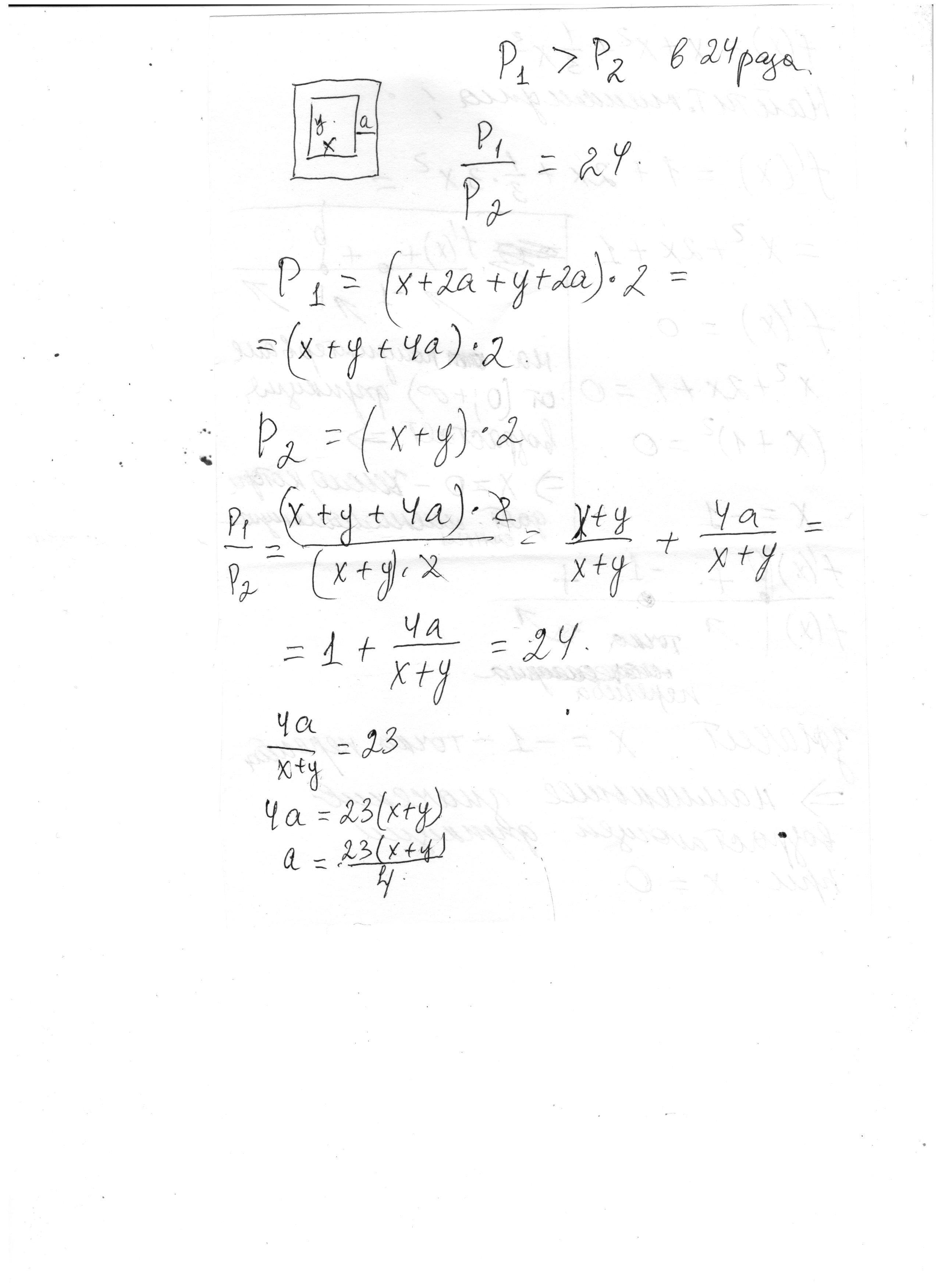
Поле имеет форму прямоугольника, вокруг поля проложена дорожка(в форме прямоугольника)ширина дорожки равна со всех сторон. Известно,что внешняя сторона дорожки в 24 раза длиннее внутренней. Найдите ширину дорожки
Приложения:

Ответы
Ответ дал:
0
Во вложенном файле решение, только я смогла выразить только ширину дорожки через стороны поля. Может это чем-то поможет
Приложения:

Вас заинтересует
2 года назад
7 лет назад
9 лет назад
9 лет назад
10 лет назад
10 лет назад