Ответы
Ответ дал:
0
Точка минимума функции-это вершина параболы
Она находится по формуле ×₀=
=144.2
Ответ дал:
0
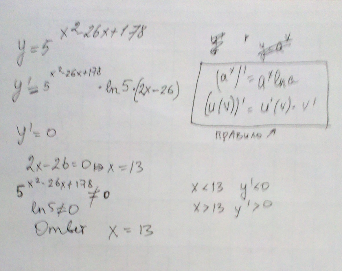
нужно взять производную сложной показательной функции по правилам, я там их написала в рамочках, приравнять нулю. Как-то так. Решение во вложении.
Приложения:

Вас заинтересует
2 года назад
2 года назад
8 лет назад
10 лет назад
10 лет назад