Pascal
Пишет "не число" в ответе, при х=-10, =-5, =-2 например и т.д
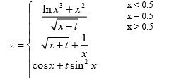
Строчка всего этого
If x<0.5 then f := (ln(x*x*x)+sqr(x))/(sqrt(x+t))
При const t=2.2
В чем ошибка?
Приложения:
Ответы
Ответ дал:
0
Ошибка в задании недопустимых исходных данных. Аргументы функций ln() и sqrt() не должны быть отрицательными.
Вас заинтересует
2 года назад
2 года назад
7 лет назад
10 лет назад
10 лет назад